题目编号 一 二 三 四 五 六 总分
1、 一、填空题(每空1分,共20分)
2、 一个数的千万位是1,百万位是最小的合数4,百位是最小的质数2,十位是最大的一位数9,其余各位均为0,这个数是14000290,读作一千四百万零二百九十,省略万位后的尾数约是1400万。
3、 2.6千克350克等于多少千克,3.25小时等于几小时几分。
4、 分数单位是( ),再加上( )个这样的单位就等于最小的质数。
5、 1/(5)=5÷25=20%=30:150=0.2
6、 一幅地图上,3厘米表示实际15千米,求该地图的比例尺。
7、 能被2、3、5同时整除的最小两位数是30。
8、 抽签决定比赛顺序,共有9支签,分别标有数字1至9,其中抽到偶数的概率是多少。
9、 圆的半径扩大3倍,周长随之扩大3倍,面积则扩大9倍。
10、 用边长150像素的正方形纸剪直径50像素的圆,最多可剪9个,剩余纸片的面积约为10732.5平方像素。
11、 能同时反映我县2010年全年平均气温及气温变化趋势的统计图是( )。
12、 二、判断题(每小题1分,共5分)
13、 周长相等时,圆的面积最大,而非正方形。
14、 订阅中国少年报的份数与总费用成正比。
15、 任何自然数乘以2,结果都是偶数。
16、 连接圆锥顶点与底面圆心的线段称为圆锥的高。
17、 关山草原5月游客比6月少20%,但6月游客比5月多的并非20%,原说法错误。
18、 三、选择题(每小题2分,共10分)
19、 将字母R顺时针旋转180度后形成的图形是( )
20、 将长方形拉成平行四边形,周长不变,面积变小。
21、 尺寸先增大后减小,或先减小后增大,亦可保持不变随后变化。
22、 甲数的某部分等于乙数的某部分,则甲等于乙。
23、 A 大于 B 小于 C 等于
24、 某班男生人数为女生的1.2倍,男生与全班人数之比为6:11。
25、 今年全县六年级学生1600人,比去年少200人,去年比今年多15.4%。
26、 正确答案为D,约为11%。
27、 四、计算题。(共31分)
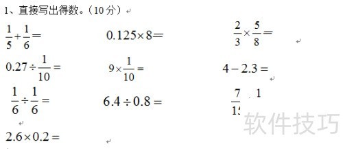
28、 直接计算并写出结果,共10分。
29、 用自己擅长的方式完成计算题。
30、 求未知数的值,共9分。
31、 五、实际操作题(共6分)
32、 把图形A向左移动四格得到图形B,再以点O为旋转中心顺时针转90度得到图形C。
33、
34、
35、 按照规律,3,9,11,17,20,( ),( ),36,41,…(2分)
36、 六、解答问题。(共25分)
37、 请测量右侧梯形图形所需尺寸(单位:厘米),并根据测量数据计算其面积。
38、 先制图版再作画
39、 小明家将晒干的小麦堆成圆锥形,测得底面周长为18.84米,高为0.5米。求这堆小麦的体积是多少立方米?若每立方米小麦重800千克,这堆小麦总重多少千克?
40、 学校为美化环境,计划种植成活率96%的花苗,若要确保至少288棵成活,问最少需栽种多少棵?
41、 一条公路原计划每天修780米,12天完成,实际10天完工,问实际每天修路多少米?
42、 为帮助贫困学生,我镇小学生积极参加爱心捐助。五年级共捐款2680元,六年级比五年级多捐25%。求六年级捐款总额。
