1、 null
2、 年利率4.5%表示存款一年的利息为本金的4.5%,即利息等于本金乘以4.5%。
3、 月利率3.75%指每月按本金的3.75%计息,相当于将年利率除以12所得数值,用于每月利息计算。
4、 年利率以本金的百分之几计,月利率为千分之几,日利率则为万分之几。
5、 年利率等于月利率乘以12,若年利率为4.5%,则月利率为千分之三点七五。
6、 若将10000元存一年,按4.5%利率计算,利息为450元;若存一个月,按月利率3.75‰计算,可得利息37.5元。
7、 扩展资料
8、 年利率等于月利率乘以十二。
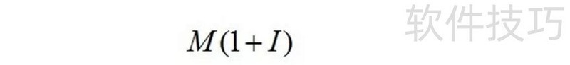
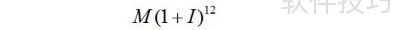
9、 若年利率为I,初始本金为M,则12年后本息合计为M×(1+I)^12。
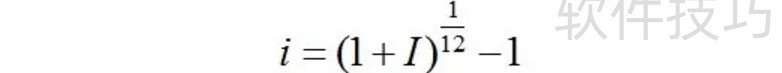
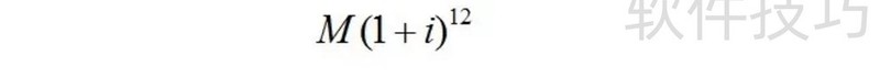
10、 若月存款利率为i,初始本金为M,则12个月后本息总额为M乘以(1+i)的12次方。
11、 十二个月即为一年,若年存款利率为I,则一年后本息总额可表示为:
12、 存期为一年,即12个月,因此需满足相应条件。
13、 月利率与年利率的关系为:年利率等于月利率乘以十二。
14、 月利率、年利率与日利率相互转换的计算方法
15、 月利率等于年利率除以十二。
16、 日利率(‰)等于年利率除以三百六十。
17、 我国年利率通常为9的倍数,换算为日利率时采用360天作为基数,而非365或366天,这样便于整除计算,确保日利率数值精确且统一。
