热点:

    Python计算积分方法

      [   原创  ]   作者:
    收藏文章 暂无评论

    Python执行数学运算

    1、 先安装数学符号库,在命令行输入 pip install sympy 即可完成安装。

    2、 安装完成后,输入python命令即可进入Python交互环境。

    3、 导入此前使用的数学符号计算库。

    4、 创建一个符号变量,命名为x,用于代数运算和表达式定义。

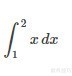
    5、 求函数x在指定区间内的定积分值

    6、 设结果为 y,则 y 等于 x 在区间 上的积分值。

    7、 输出变量y的值,显示在屏幕上。

    8、 点赞支持一下吧

    soft.zol.com.cn true https://soft.zol.com.cn/1119/11194867.html report 379 Python执行数学运算 1、 先安装数学符号库,在命令行输入 pip install sympy 即可完成安装。 2、 安装完成后,输入python命令即可进入Python交互环境。 3、 导入此前使用的数学符号计算库。 4、 创建一个符号变量,命名为x,用于代数运算和表达式定义。 5、 求函数x...
    不喜欢(0) 点个赞(0)
    随时随地资讯查报价 就上ZOL手机客户端,点击或扫描二维码下载
    立即下载

    随想表达式计算控件(CS Calculator) 4.0.2004.0910

    更新时间:2007年07月27日

    用户评分:0 | 0人点评

    软件类型:试用软件

    软件语言:简体中文

    随想表达式计算控件(CS Calculator) 4.0.2004.0910
    • 更新时间:2007年07月27日
    • 软件大小:0.6MB
    • 软件分类:编程工具
    • 语言种类:简体中文
    • 软件评级:0 人点评