许多同学感觉高中数学难度大,刚起步就跟不上进度。问题出在哪里?我们将逐步分析导致学习脱节的各类原因。本文为第一篇,后续还有系列内容,欢迎持续关注并收藏。
1、 立方和与立方差公式初中已不再教授。
2、 高中数学运算中频繁使用,需同学们熟练掌握。
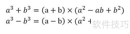
3、 立方和公式:两数立方之和等于两数和乘以平方和减积;
4、 立方差公式:两数立方之差等于两数差乘以平方和加积。
5、 立方和差公式推导过程详解
6、 立方和差公式的应用技巧
7、 第一个因式的和或差由原式中各项符号决定。
8、 第二个因式中两数相乘的符号是否受第一个因式影响?
9、 第二个因式中两数乘积的系数与完全平方公式中的乘积项系数有何不同?
10、 第一个因式为和或差,具体由原式是立方和还是立方差确定。
11、 立方和公式中,首项因式为两数之和。
12、 立方差公式中,首项为两数之差。
13、 第二个因式中两数乘积的符号,取决于第一个因式是和还是差。
14、 若两数和为正,则其积的符号为负。
15、 若差为负,则第二因式中两数乘积符号为正。
16、 第二个因式中两数相乘的系数为1,而完全平方公式中两数乘积的系数是2,注意别混淆。
17、 立方和差公式应用时需注意符号与项的顺序。
18、 分解后首项因式与原式的和或差保持相同。
19、 第二个因式中两数相乘的符号与前者相反。
20、 第二因式中是两数相乘的结果,而非其积的两倍。
