1、 null
2、 2的32次方等于4294967296
3、 2的32次方等于4294967296。
4、 平方根有正有负,包括零;而算术平方根仅指非负的那个值,二者主要区别在于符号范围。
5、 根号是表示对一个数或代数式进行开方运算的符号。通常将二次开方称为根号某值,例如根号9即表示对9进行二次开方运算。
6、 参考资料:
7、 次方运算公式
8、 当a非负且n为不小于2的自然数时成立。
9、 当a、b非负,n为大于等于2的自然数时成立。
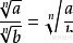
10、 当a非负、b为正数、n不小于2且为自然数时成立。
11、 当a非负、b为正且n为不小于2的自然数时成立。
